본문 바로가기
카테고리 없음

복리의 마법: 돈이 돈을 버는 비결 완벽 가이드

by 재무대디 2024. 12. 6.
반응형

복리의 마법 - 돈이 돈을 버는 방법

복리는 시간과 이자율의 힘을 이용해 자산을 증식하는 강력한 도구입니다. 이 글에서는 복리의 정의, 작동 원리, 그리고 이를 효과적으로 활용하는 방법을 알려드립니다.

 

복리는 단순한 금융 개념이 아니라, 시간이 지날수록 돈이 스스로 불어나는 강력한 도구입니다. 투자 전문가 피터 린치는 복리의 효과를 활용해 1만 달러를 13년 만에 28만 달러 이상으로 불렸습니다. 그렇다면, 복리를 통해 당신의 자산을 성장시킬 준비가 되었나요? 이 글에서 복리의 작동 원리와 활용 방법을 자세히 알아보세요.

복리의 마법 - 돈이 돈을 버는 방법
복리의 마법 - 돈이 돈을 버는 방법

 


복리란 무엇인가?

복리의 정의

복리(Compound Interest)는 원금뿐 아니라, 발생한 이자에도 이자가 붙는 방식입니다. 시간이 길수록 원리금이 기하급수적으로 증가하며, 이 효과를 극대화하는 것이 성공적인 장기투자의 핵심입니다.

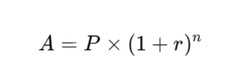
복리 공식

 

복리공식

 

  • A: 미래 가치
  • P: 초기 원금
  • r: 연 이율
  • n: 기간(연 단위)

단리와 복리의 차이

1,000만 원을 연 5%로 투자했을 때 단리와 복리의 차이는 다음 표와 같습니다:

기간(년)단리복리

1 1,050,000 1,050,000
5 1,250,000 1,276,282
10 1,500,000 1,628,895

시간이 지날수록 복리의 성장 효과가 눈에 띄게 커집니다.


복리의 실제 성공 사례

1977년부터 1990년까지 피델리티 매지ellan 펀드를 운용한 피터 린치는 연평균 29.2%의 수익률을 기록했습니다.
1만 달러를 투자한 사람은 13년 만에 약 28만 달러 이상의 자산을 얻었습니다. 이 성공의 비결은 복리를 장기적으로 활용한 데 있습니다.


복리를 활용한 장기투자의 힘

1. 조기 투자로 시간의 효과를 누려라

복리는 시간이 길수록 효과가 커지므로, 가능한 한 빨리 투자를 시작하는 것이 중요합니다. 예를 들어, 연 6%의 복리 수익률로 1억 원을 30년간 투자하면 약 5억 7천만 원으로 성장합니다.

2. 적립식 투자의 매력

매달 소액이라도 꾸준히 투자하면 복리의 효과를 극대화할 수 있습니다. 매달 10만 원을 연 8%로 30년간 투자하면 약 1억 5천만 원의 자산을 만들 수 있습니다.

3. 배당 재투자로 복리를 강화하라

배당금을 재투자하면 원리금이 더욱 빠르게 불어납니다. 특히 배당 성장주는 장기적으로 자산을 극대화하는 데 유리합니다.

복리의 실제 사례 - 시간이 만든 기적

그림 1: 복리 성장 그래프 (예: 1,000만 원, 연 7%)

  • 10년 후: 약 1,967만 원
  • 20년 후: 약 3,869만 원
  • 30년 후: 약 7,612만 원
복리 성장을 시각적으로 표현한 그래프

(복리 성장을 시각적으로 표현한 그래프)

 


복리 투자 시 주의사항

1. 비용을 최소화하라

수수료가 높은 상품은 복리의 성장 효과를 방해합니다. 저비용 인덱스 펀드나 ETF를 활용하세요.

2. 세금 관리로 복리를 지켜라

세제 혜택이 있는 투자 상품(예: 연금저축펀드, IRP)을 활용하면 세금을 절약하고 복리 효과를 극대화할 수 있습니다.

3. 단기 변동성에 흔들리지 마라

복리는 장기적으로 작동하므로, 단기적인 시장 변동에 흔들리지 말고 투자 계획을 유지해야 합니다.


당신의 목표는 무엇인가요?

아래 복리 계산기를 활용해 투자 목표를 설정해 보세요. 당신의 현재 자산이 10년, 20년 후 어떻게 성장할지 직접 확인할 수 있습니다.

[복리 계산기 바로가기]


복리의 마법을 시작하라

복리는 작은 씨앗이 큰 나무로 자라듯, 적은 돈으로도 놀라운 결과를 가져오는 강력한 도구입니다. 지금 당장 복리의 원리를 활용해 당신의 재정 목표를 달성하세요. 시간과 꾸준함이 당신의 최고의 투자 동반자가 될 것입니다.

반응형